Wprowadzenie
System liczbowy to sposób zapisywania liczb za pomocą znaków (cyfr). Najbardziej powszechnym systemem jest system dziesiętny (decymalny), używający 10 cyfr (0-9). W informatyce szczególnie ważne są systemy: binarny (dwójkowy), ósemkowy i szesnastkowy.
Podstawowe pojęcia
Podstawa systemu liczbowego – ilość cyfr używanych w danym systemie:
-
System dwójkowy (binarny): podstawa 2 (cyfry 0,1)
-
System ósemkowy (ósemkowy): podstawa 8 (cyfry 0-7)
-
System dziesiętny (decymalny): podstawa 10 (cyfry 0-9)
-
System szesnastkowy (heksadecymalny): podstawa 16 (cyfry 0-9,A-F)
Algorytm zamiany z systemu o podstawie p na dziesiętny
Zasada działania
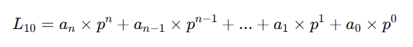
Każdą liczbę w systemie o podstawie p można przedstawić jako sumę iloczynów cyfr przez odpowiednie potęgi podstawy.
Wzór:

Przykład: Zamiana liczby binarnej 1101 na dziesiętną:
Algorytm zamiany z systemu dziesiętnego na system o podstawie p
Zasada działania
Dzielimy liczbę dziesiętną przez podstawę systemu docelowego, zapisując reszty z dzielenia. Czynność powtarzamy aż do otrzymania zera.
Kroki:
-
Podziel liczbę dziesiętną przez podstawę p
-
Zapisz resztę z dzielenia
-
Za nową liczbę przyjmij wynik całkowity z dzielenia
-
Powtarzaj kroki 1-3 aż do uzyskania 0
-
Odczytaj wynik od ostatniej reszty do pierwszej
Przykład: Zamiana liczby 13 na binarną:

Specjalne przypadki
System szesnastkowy
W systemie szesnastkowym używamy cyfr 0-9 oraz liter A-F (reprezentujących wartości 10-15).
Systemy o podstawach większych niż 10
Dla systemów o podstawie >10 używamy dodatkowych symboli lub konwencji zapisu.
Was this helpful?
0 / 0